Cách giải phương trình vô tỉ bằng phương pháp nâng lũy thừa cực hay
Cách giải phương trình vô tỉ bằng phương pháp nâng lũy thừa lớp 9 với phương pháp giải chi tiết và bài tập đa dạng giúp học sinh ôn tập, biết cách làm bài tập phương trình vô tỉ bằng phương pháp nâng lũy thừa.
Cách giải phương trình vô tỉ bằng phương pháp nâng lũy thừa cực hay
(199k) Xem Khóa học Toán 9 KNTTXem Khóa học Toán 9 CDXem Khóa học Toán 9 CTST
Phương pháp giải
Bước 1: Tìm đkxđ
Bước 2: Biến đổi bằng các nâng lên lũy thừa
⇔ 4.f(x).g(x) = (h(x) - f(x) - g(x))2.
Bước 3: Đối chiếu điều kiện và thử lại (đối với các phương trình không tương đương) và kết luận.
Ví dụ minh họa
Ví dụ 1: Giải phương trình:
Hướng dẫn giải:
a) Đkxđ: x ≥ -3/2 .
⇔ 2x + 3 = 0 ⇔ x = -3/2 (t.m đkxđ).
Vậy phương trình có nghiệm x = -3/2 .
b) Đkxđ: 2x2 + 3x + 1 ≥ 0.
⇔ 2x2 + 3x + 1 = 0
⇔ (x + 1)(2x + 1) = 0
Vậy phương trình có hai nghiệm x = -1 hoặc x = -1/2 .
c) Đkxđ: x ≥ -4/3 .
⇔ 3x + 4 = 25 ⇔ 3x = 21 ⇔ x = 7 (t.m đkxđ)
Vậy phương trình có nghiệm x = 7.
d)
⇔ x2 + x + 2 = 1
⇔ x2 + x + 1 = 0
⇔ (x+1/2)2 + 3/4 = 0
Phương trình vô nghiệm.
Ví dụ 2: Giải phương trình:
Hướng dẫn giải:
a) Đkxđ: x ≥ -3 .
⇒
=> x + 3 = (x-3)2
⇔ x + 3 = x2 – 6x + 9
⇔ x2 – 7x + 6 = 0
⇔ (x – 1)(x – 6) = 0
⇔ x = 1 hoặc x = 6.
Thử lại chỉ có x = 6 là nghiệm của phương trình.
Vậy phương trình có nghiệm x = 6.
b) Đkxđ: x ≥ -1
=> 4(x+1) = (2-x)2
⇔ 4x + 4 = x2 - 4x + 4
⇔ x2 - 8x = 0
⇔ x = 0 hoặc x = 8.
Thử lại thấy chỉ có x = 0 là nghiệm của phương trình.
Vậy phương trình có nghiệm x = 0.
Ví dụ 3: Giải phương trình:
Hướng dẫn giải:
a) Đkxđ: x2 - x - 3 ≥ 0
⇒ (x+8)2 = 16(x2 - x - 3)
⇔ x2 + 16x + 64 = 16x2 - 16x - 48
⇔ 15x2 - 32x - 112 = 0
⇔ (x-4)(15x+28) = 0
⇔ x = 4 hoặc x = -28/15.
Thử lại cả hai nghiệm đều thỏa mãn.
Vậy phương trình có tập nghiệm S = {4; -28/15} .
Bài tập trắc nghiệm tự luyện
Bài 1: Nghiệm của phương trình là:
A. x = -1/2 B. x = 1/2
C. x = 0 D. Phương trình vô nghiệm.
Đáp án: A
Bài 2: Phương trình có số nghiệm là:
A. 1 B. 2
C. 3 D. 4.
Đáp án: B
Bài 3: Số nghiệm của phương trình là:
A. 0 B. 1
C. 2 D. 3
Đáp án: B
Bài 4: Tổng các nghiệm của phương trình là:
A. 4√2 B. -4
C. 4 D. -4√2
Đáp án: C
Bài 5: Số nghiệm của phương trình là:
A. 0 B. 1
C. 2 D. 3
Đáp án: B
Bài 6: Giải các phương trình dưới đây:
Hướng dẫn giải:
a) Đkxđ: x2 - 4 ≥ 0
⇒ x2 - 4 = (x-2)2
⇔ x2 - 4 = x2 - 4x + 4
⇔ 4x = 8 ⇔ x = 2.
Thử lại thấy x = 2 là nghiệm của phương trình.
Vậy phương trình có nghiệm x = 2.
b) Đkxđ: x ≥ - 3/2 .
⇒ 2x + 3 = x2 ⇔ x2 – 2x – 3 = 0
⇔ (x + 1)(x – 3) = 0
⇔ x = -1 hoặc x = 3.
Thử lại thấy chỉ có x = 3 là nghiệm của phương trình.
Vậy phương trình có nghiệm x = 3.
Bài 7: Giải các phương trình dưới đây:
Hướng dẫn giải:
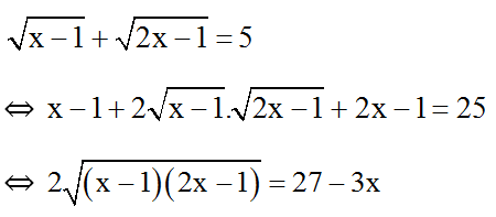
a) Đkxđ: x ≥ 1.
⇒ 4(x-1)(2x-1) = (27-3x)2
⇔ 8x2 – 12x + 4 = 9x2 – 162x + 729
⇔ x2 – 150x + 725 = 0
⇔ (x – 5)(x – 145) = 0
⇔ x = 5 hoặc x = 145 (t.m)
Thử lại cả hai nghiệm đều thỏa mãn phương trình.
Vậy phương trình có hai nghiệm x = 5 và x = 145.
Đặt , phương trình trở thành:
3t2 + 3t – 60 = 0 ⇔ 3(t – 4)(t + 5) = 0 ⇔ t = 4 hoặc t = -5.
+ Với t = 4 thì = 4 ⇔ x – 16 = 64 ⇔ x = 80.
+ Với t = -5 thì = -5 ⇔ x – 16 = -125 ⇔ x = -109.
Bài 8: Giải các phương trình dưới đây:
Hướng dẫn giải:
a) Đkxđ: x ≥ -1.
⇒ (x2 - x + 1) (x+1) = (2x+1)2
⇔ (x3 + 1) = 4x2 + 4x + 1
⇔ x3 - 4x2 - 4x = 0
⇔ x(x2 – 4x – 4) = 0
Thử lại chỉ có hai nghiệm x = 0 và x = 2 + 2√2 thỏa mãn phương trình.
Vậy phương trình có hai nghiệm x = 0 và x = 2 + 2√2 .
⇔ 5√(x+7) = 15
⇔ √(x+7) = 3
⇔ x + 7 = 9
⇔ x = 2
Thử lại: x = 2 thỏa mãn phương trình.
Vậy phương trình có nghiệm x = 2.
Bài 9: Giải các phương trình dưới đây:
Hướng dẫn giải:
a) Đkxđ: -4≤ x ≤ 1/2 .
⇒ (x+4)(1-x) = x2 + 4x + 4
⇔ -x2 – 3x + 4 = x2 + 4x + 4
⇔ 2x2 + 7x = 0
⇔ x(2x + 7) = 0
⇔ x = 0 hoặc x = -7/2
Thử lại chỉ có x = 0 thỏa mãn
Vậy phương trình có nghiệm x = 0.
Vậy phương trình có ba nghiệm x = 1; x = 2; x = 3/2 .
Bài 10: Giải các phương trình dưới đây:
Hướng dẫn giải:
a) Đkxđ: x ≥ -1 .
⇒ (x+1) (x+10) = (-x-1)2
⇔ x2 +11x +10 = x2 + 2x +1
⇔ 9x = -9
⇔ x = -1.
Thử lại x = -1 thỏa mãn phương trình.
Vậy phương trình có nghiệm x = -1.
b) Đkxđ: x ≥ -1/2 .
=> (2x+1) (2x+16) = (-2x+4)2
⇔ 2x2 + 34x + 16 = 4x2 -16x + 16
⇔ 2x2 - 50x = 0
⇔ 2x(x-25) = 0
⇔ x = 0 hoặc x - 25
Thử lại chỉ có x = 0 thỏa mãn phương trình.
Vậy phương trình có nghiệm x = 0.
(199k) Xem Khóa học Toán 9 KNTTXem Khóa học Toán 9 CDXem Khóa học Toán 9 CTST
Xem thêm các dạng bài tập Toán lớp 9 có đáp án và lời giải chi tiết khác:
Mục lục các Chuyên đề Toán lớp 9:
- Chuyên đề Đại Số 9
- Chuyên đề: Căn bậc hai
- Chuyên đề: Hàm số bậc nhất
- Chuyên đề: Hệ hai phương trình bậc nhất hai ẩn
- Chuyên đề: Phương trình bậc hai một ẩn số
- Chuyên đề Hình Học 9
- Chuyên đề: Hệ thức lượng trong tam giác vuông
- Chuyên đề: Đường tròn
- Chuyên đề: Góc với đường tròn
- Chuyên đề: Hình Trụ - Hình Nón - Hình Cầu
Tủ sách VIETJACK luyện thi vào 10 cho 2k11 (2026):
Đã có app VietJack trên điện thoại, giải bài tập SGK, SBT Soạn văn, Văn mẫu, Thi online, Bài giảng....miễn phí. Tải ngay ứng dụng trên Android và iOS.
Theo dõi chúng tôi miễn phí trên mạng xã hội facebook và youtube:Nếu thấy hay, hãy động viên và chia sẻ nhé! Các bình luận không phù hợp với nội quy bình luận trang web sẽ bị cấm bình luận vĩnh viễn.
- Giải Tiếng Anh 9 Global Success
- Giải sgk Tiếng Anh 9 Smart World
- Giải sgk Tiếng Anh 9 Friends plus
- Lớp 9 Kết nối tri thức
- Soạn văn 9 (hay nhất) - KNTT
- Soạn văn 9 (ngắn nhất) - KNTT
- Giải sgk Toán 9 - KNTT
- Giải sgk Khoa học tự nhiên 9 - KNTT
- Giải sgk Lịch Sử 9 - KNTT
- Giải sgk Địa Lí 9 - KNTT
- Giải sgk Giáo dục công dân 9 - KNTT
- Giải sgk Tin học 9 - KNTT
- Giải sgk Công nghệ 9 - KNTT
- Giải sgk Hoạt động trải nghiệm 9 - KNTT
- Giải sgk Âm nhạc 9 - KNTT
- Giải sgk Mĩ thuật 9 - KNTT
- Lớp 9 Chân trời sáng tạo
- Soạn văn 9 (hay nhất) - CTST
- Soạn văn 9 (ngắn nhất) - CTST
- Giải sgk Toán 9 - CTST
- Giải sgk Khoa học tự nhiên 9 - CTST
- Giải sgk Lịch Sử 9 - CTST
- Giải sgk Địa Lí 9 - CTST
- Giải sgk Giáo dục công dân 9 - CTST
- Giải sgk Tin học 9 - CTST
- Giải sgk Công nghệ 9 - CTST
- Giải sgk Hoạt động trải nghiệm 9 - CTST
- Giải sgk Âm nhạc 9 - CTST
- Giải sgk Mĩ thuật 9 - CTST
- Lớp 9 Cánh diều
- Soạn văn 9 Cánh diều (hay nhất)
- Soạn văn 9 Cánh diều (ngắn nhất)
- Giải sgk Toán 9 - Cánh diều
- Giải sgk Khoa học tự nhiên 9 - Cánh diều
- Giải sgk Lịch Sử 9 - Cánh diều
- Giải sgk Địa Lí 9 - Cánh diều
- Giải sgk Giáo dục công dân 9 - Cánh diều
- Giải sgk Tin học 9 - Cánh diều
- Giải sgk Công nghệ 9 - Cánh diều
- Giải sgk Hoạt động trải nghiệm 9 - Cánh diều
- Giải sgk Âm nhạc 9 - Cánh diều
- Giải sgk Mĩ thuật 9 - Cánh diều


Giải bài tập SGK & SBT
Tài liệu giáo viên
Sách
Khóa học
Thi online
Hỏi đáp

