Xét tính đồng biến, nghịch biến của hàm số
Xét tính đồng biến, nghịch biến của hàm số
(199k) Xem Khóa học Toán 9 KNTTXem Khóa học Toán 9 CDXem Khóa học Toán 9 CTST
Phương pháp giải
+ Hàm số y = f(x) đồng biến nếu với mọi x1; x2 thuộc tập xác định thỏa mãn x1 < x2 thì f(x1) < f(x2)
+ Hàm số y = f(x) nghịch biến nếu với mọi x1; x2 thuộc tập xác định thỏa mãn x1 < x2 thì f(x1) > f(x2)
+ Ngoài dựa vào định nghĩa, ta có thể dựa vào việc xét dấu biểu thức A = (f(x1)- f(x2))(x1 - x2) hoặc .
Nếu A > 0 (hoặc B > 0 ) thì hàm số đồng biến.
Nếu A < 0 (hoặc B < 0) thì hàm số nghịch biến.
Ví dụ minh họa
Ví dụ 1: Xét tính đồng biến, nghịch biến của các hàm số:
a) y = f(x) = 3x-7 .
b) y = g(x) = -2x+5 .
c) y = h(x) = √(x+2)
Hướng dẫn giải:
a) Lấy x1 ≠ x2 ∈ R, ta có:
Vậy hàm số đồng biến trên toàn tập số thực.
b) Lấy x1 ≠ x2 ∈ R, ta có:
Vậy hàm số y = g(x) nghịch biến trên toàn tập số thực.
c) Đkxđ : x ≥ -2.
Lấy x1 ≠ x2 thỏa mãn x1; x2 ≥ -2 ta có:
Vậy hàm số đồng biến trên tập xác định x ≥ -2.
Ví dụ 2: Chứng minh rằng :
a) f(x) = x2 + 2x + 4 đồng biến khi x > -1 và nghịch biến khi x < -1.
b) g(x) = -x2 + 4x + 1 đồng biến khi x < 2 và nghich biến khi x > 2.
Hướng dẫn giải:
a) Lấy x1 ; x2 ∈ R ta có :
+ Với mọi x1 < -1 ; x2 < -1 thì x1 + x2 + 2 < 0
Vậy hàm số f(x) = x2 + 2x + 4 nghịch biến với mọi x < -1.
+ Với mọi x1 > -1 ; x2 > -1 thì x1 + x2 + 2 > 0
Vậy hàm số f(x) = x2 + 2x + 4 đồng biến với mọi x > -1.
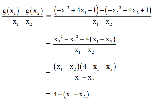
b) Lấy x1 ; x2 ∈ R, xét :
+ Với mọi x1 < 2 ; x2 < 2thì x1 + x2 < 4.
Do đó
Vậy hàm số f(x) = x2 + 2x + 4 nghịch biến với mọi x < -1.
+ Với mọi x1 > -1 ; x2 > -1 thì x1 + x2 + 2 > 0
Vậy hàm số f(x) = x2 + 2x + 4 đồng biến với mọi x > -1.
Ví dụ 3: Chứng minh rằng hàm số nghịch biến trên tập xác định của nó.
Hướng dẫn giải:
Đkxđ : x ≤ 1.
Ta có:
Lấy x1; x2 < 1 ta có:
Suy ra hàm số y = f(x) nghịch biến trên tập xác định của nó.
Bài tập trắc nghiệm tự luyện
Bài 1: Với x1; x2 thuộc tập D bất kì, hàm số y = f(x) được gọi là đồng biến trên tập D khi :
Đáp án: D
Bài 2: Với x1; x2 thuộc tập D bất kì, hàm số y = f(x) được gọi là nghịch biến trên tập D khi :
Đáp án: C
Bài 3: Cho hàm số y = 1 – x . Khẳng định nào sau đây là đúng ?
A. Hàm số có tập xác định x < 1.
B. Hàm số có tập xác định x > 1.
C. Hàm số đồng biến trên tập xác định
D. Hàm số nghịch biến trên tập xác định.
Đáp án: D
Bài 4: Cho hàm số y = x2 - 6x . Hàm số đồng biến khi :
A. 0 < x < 5 B. x < 3 C. x > 3 D. -2 <x < 2.
Đáp án: C
Bài 5: Hàm số nào dưới đây nghịch biến trên toàn tập số thực:
Đáp án: A
Bài tập tự luận tự luyện
Bài 6: Chứng minh rằng hàm số đồng biến trên tập số thực.
Hướng dẫn giải:
Xét hàm số
Lấy x1; x2 ∈ R bất kì, ta có:
Vậy hàm số đồng biến trên tập số thực.
Bài 7: Xét tính đồng biến, nghịch biến của hàm số với x < 1.
Hướng dẫn giải:
Đkxđ: x ≤ 3/2 .
Lấy x1; x2 < 1 bất kì ta có:
Vậy hàm số nghịch biến với mọi x < 1.
Bài 8: Cho hàm số y = x2 - x + 1.
Chứng minh hàm số đồng biến khi x > 1/2 và nghịch biến khi x < 1/2.
Hướng dẫn giải:
f(x) = x2 - x + 1
+ Lấy x1; x2 < 1/2 bất kì ta có:
Với x1; x2 < 1/2 thì x1 + x2 < 1 nên x1 + x2 - 1 < 0 .
Hay hay hàm số nghịch biến với x < 1/2 .
+ Lấy x1; x2 > 1/2 bất kì ta có x1 + x2 > 1 , suy ra x1 + x2 - 1 > 0
Suy ra
Hay hay hàm số đồng biến với x > 1/2 .
Bài 9: Chứng minh hàm số đồng biến với x > 2.
Hướng dẫn giải:
Điều kiện xác định: x ≠ 2 .
Lấy x1; x2 > 2. Ta có:
Với x1;x2 > 2 ta có: 2 - x1 < 0 ; 2 - x2 < 0
Do đó
Vậy hàm số đồng biến với x > 2.
Bài 10: Tìm điều kiện của a để hàm số y = ax + 3 nghịch biến trên toàn tập số thực.
Hướng dẫn giải:
Xét hàm số y = f(x) = ax + 3.
Lấy x1 ; x2 ∈ R bất kì.
Ta có :
Để hàm số nghịch biến trên R thì hay a < 0.
(199k) Xem Khóa học Toán 9 KNTTXem Khóa học Toán 9 CDXem Khóa học Toán 9 CTST
Xem thêm các dạng bài tập Toán lớp 9 có đáp án và lời giải chi tiết khác:
- Phương pháp Tìm tập xác định của hàm số
- Phương pháp Tìm tập giá trị của hàm số
- Tìm hoành độ giao điểm của đồ thị hàm số
- Cách xác định hàm số bậc nhất: tập xác định, đồng biến, nghịch biến
- Cách làm bài toán Đồ thị hàm số lớp 9 cực hay (có lời giải)
- Bài toán hai đường thẳng song song, cắt nhau, trùng nhau
- Cách làm Bài toán đường thẳng đi qua điểm cố định cực hay
- Bài toán Đồ thị hàm số trị tuyệt đối cực hay
Mục lục các Chuyên đề Toán lớp 9:
- Chuyên đề Đại Số 9
- Chuyên đề: Căn bậc hai
- Chuyên đề: Hàm số bậc nhất
- Chuyên đề: Hệ hai phương trình bậc nhất hai ẩn
- Chuyên đề: Phương trình bậc hai một ẩn số
- Chuyên đề Hình Học 9
- Chuyên đề: Hệ thức lượng trong tam giác vuông
- Chuyên đề: Đường tròn
- Chuyên đề: Góc với đường tròn
- Chuyên đề: Hình Trụ - Hình Nón - Hình Cầu
Tủ sách VIETJACK luyện thi vào 10 cho 2k11 (2026):
Đã có app VietJack trên điện thoại, giải bài tập SGK, SBT Soạn văn, Văn mẫu, Thi online, Bài giảng....miễn phí. Tải ngay ứng dụng trên Android và iOS.
Theo dõi chúng tôi miễn phí trên mạng xã hội facebook và youtube:Nếu thấy hay, hãy động viên và chia sẻ nhé! Các bình luận không phù hợp với nội quy bình luận trang web sẽ bị cấm bình luận vĩnh viễn.
- Giải Tiếng Anh 9 Global Success
- Giải sgk Tiếng Anh 9 Smart World
- Giải sgk Tiếng Anh 9 Friends plus
- Lớp 9 Kết nối tri thức
- Soạn văn 9 (hay nhất) - KNTT
- Soạn văn 9 (ngắn nhất) - KNTT
- Giải sgk Toán 9 - KNTT
- Giải sgk Khoa học tự nhiên 9 - KNTT
- Giải sgk Lịch Sử 9 - KNTT
- Giải sgk Địa Lí 9 - KNTT
- Giải sgk Giáo dục công dân 9 - KNTT
- Giải sgk Tin học 9 - KNTT
- Giải sgk Công nghệ 9 - KNTT
- Giải sgk Hoạt động trải nghiệm 9 - KNTT
- Giải sgk Âm nhạc 9 - KNTT
- Giải sgk Mĩ thuật 9 - KNTT
- Lớp 9 Chân trời sáng tạo
- Soạn văn 9 (hay nhất) - CTST
- Soạn văn 9 (ngắn nhất) - CTST
- Giải sgk Toán 9 - CTST
- Giải sgk Khoa học tự nhiên 9 - CTST
- Giải sgk Lịch Sử 9 - CTST
- Giải sgk Địa Lí 9 - CTST
- Giải sgk Giáo dục công dân 9 - CTST
- Giải sgk Tin học 9 - CTST
- Giải sgk Công nghệ 9 - CTST
- Giải sgk Hoạt động trải nghiệm 9 - CTST
- Giải sgk Âm nhạc 9 - CTST
- Giải sgk Mĩ thuật 9 - CTST
- Lớp 9 Cánh diều
- Soạn văn 9 Cánh diều (hay nhất)
- Soạn văn 9 Cánh diều (ngắn nhất)
- Giải sgk Toán 9 - Cánh diều
- Giải sgk Khoa học tự nhiên 9 - Cánh diều
- Giải sgk Lịch Sử 9 - Cánh diều
- Giải sgk Địa Lí 9 - Cánh diều
- Giải sgk Giáo dục công dân 9 - Cánh diều
- Giải sgk Tin học 9 - Cánh diều
- Giải sgk Công nghệ 9 - Cánh diều
- Giải sgk Hoạt động trải nghiệm 9 - Cánh diều
- Giải sgk Âm nhạc 9 - Cánh diều
- Giải sgk Mĩ thuật 9 - Cánh diều


Giải bài tập SGK & SBT
Tài liệu giáo viên
Sách
Khóa học
Thi online
Hỏi đáp

