Cách làm Bài toán đường thẳng đi qua điểm cố định cực hay
Cách giải Bài toán đường thẳng đi qua điểm cố định lớp 9 với phương pháp giải chi tiết và bài tập đa dạng giúp học sinh ôn tập, biết cách làm bài tập Bài toán đường thẳng đi qua điểm cố định.
Cách làm Bài toán đường thẳng đi qua điểm cố định cực hay
(199k) Xem Khóa học Toán 9 KNTTXem Khóa học Toán 9 CDXem Khóa học Toán 9 CTST
Phương pháp giải
Chứng minh họ đường thẳng y = ax + b, (trong đó a, b là các đa thức chứa tham số m) đi qua một điểm cố định.
+ Gọi điểm cố định mà họ đường thẳng luôn đi qua là (xo; yo) với mọi m
+ Thay (xo; yo) vào phương trình đường thẳng.
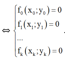
+ Đưa phương trình về dạng fk(xo; yo).mk + fk-1(xo; yo).mk-1 + ... + fo(xo; yo) = 0 với mọi m
Giải hệ phương trình tìm được điểm cố định mà họ đường thẳng luôn đi qua.
Ví dụ minh họa
Ví dụ 1: Cho hàm số y = (2m – 1)x + m – 3. Chứng minh rằng đồ thị hàm số luôn đi qua một điểm cố định với mọi m.
Hướng dẫn giải:
Gọi điểm cố định mà đồ thị hàm số đi qua là A(xo ; yo) .
Khi đó yo = (2m – 1)xo + m – 3 với ∀ m.
⇔ (2m – 1)xo + m – 3 – yo = o với ∀ m
⇔ m(2xo + 1) – (xo + 3 + yo) = 0 với ∀ m
Vậy điểm cố định đồ thị hàm số đi qua với mọi m là (-1/2;5/2) .
Ví dụ 2: Chứng minh rằng họ đường thẳng y = (m2 – m – 1)x – 2m2 + 2m – 3 luôn đi qua một điểm cố định.
Hướng dẫn giải:
Giả sử họ đường thẳng y = (m2 – m – 1)x – 2m2 + 2m – 3 luôn đi qua A(xo; yo) cố định.
Khi đó: yo = (m2 – m – 1)xo – 2m2 + 2m – 3 với ∀ m
⇔ (m2 – m – 1)xo – 2m2 + 2m – 3 – yo = 0 với ∀ m
⇔ m2(xo – 2) – m(xo – 2) – xo – 3 – yo = 0 với ∀ m
Vậy họ đường thẳng trên luôn đi qua điểm cố định (2; -5).
Ví dụ 3: Tìm giá trị của k để ba đường thẳng y = kx – 2; y = 4x + 3; y = (k – 1)x + 4 đồng quy tại một điểm.
Hướng dẫn giải:
Gọi 3 đường thẳng trên lần lượt là d1; d2; d3.
Giao điểm của d1 và d3 là nghiệm của phương trình:
kx – 2 = (k – 1)x + 4 ⇔ kx – 2 = kx – x + 4 ⇔ x = 6.
⇒ y = 6k – 2.
Vậy giao điểm của d1 và d3 là A(6; 6k – 2).
Để d1; d2; d3 đồng quy thì A(6; 6k – 2) ∈ d2
⇔ 6k – 2 = 4.6 + 3 ⇔ 6k = 29 ⇔ k = 29/6 .
Vậy k = 29/6 .
Bài tập trắc nghiệm tự luyện
Bài 1: Đồ thị hàm số nào dưới đây đồng quy với đồ thị hai hàm số y = x + 2; y = -1/2x - 5/2 ?
Đáp án : A
Bài 2: Đồ thị hàm số y = mx + 1 luôn đi qua điểm nào dưới đây?
A. (0; 1) B. (1; 0).
C. (-1; 0) D. (1; 2).
Đáp án : A
Bài 3: Khẳng định nào đúng về ba đường thẳng y = -x + 2 ; y = 2x – 1 và y = -2x + 3 ?
A. Song song với nhau
B. Một đường thẳng vuông góc với hai đường thẳng còn lại.
C. Đồng quy.
D. Đôi một cắt nhau tạo thành một tam giác.
Đáp án : C
Bài 4: Đồ thị hàm số y = (m2 – 2)x + m2 – 1 luôn đi qua điểm nào dưới đây với mọi m?
A. (0; -1) B. (-1; 1)
C. (-1; 3) D. (1; 0).
Đáp án : B
Bài 5: Đồ thị hàm số nào dưới đây có điểm cố định và điểm cố định đó nằm trên trục tung?
A. y = (m2 + m)x + m + 2 B. y = (m – 1)x + 2
C. y = (m + 2)x + m + 1 D. y = m2x + m.
Đáp án : B
Bài tập tự luận tự luyện
Bài 6: Tìm điểm cố định mà đồ thị hàm số y = (m – 2)x + 3m – 1 luôn đi qua.
Hướng dẫn giải:
Gọi A(xo; yo) là điểm cố định mà đường thẳng y = (m – 2)x + 3m – 1 đi qua
Khi đó: yo = (m – 2)xo + 3m – 1 với ∀m
⇔ m(xo + 3) – 2xo – 1 – yo = 0 với ∀m
Vậy đồ thị hàm số y = (m – 2)x + 3m – 2 luôn đi qua (-3; 5).
Bài 7: Đường thẳng y = (m – 2n + 1)x – 2m + 4n – 3 có đi qua một điểm cố định nào với mọi m, n hay không?
Hướng dẫn giải:
Giả sử có điểm A(xo; yo) mà đường thẳng đi qua
⇔ yo = (m – 2n + 1)xo – 2m + 4n – 3 với ∀ m, n
⇔ m(xo – 2) - 2n(xo – 2) + xo – 3 – yo = 0 với ∀m, n.
Vậy đường thẳng đi qua điểm cố định (2; -1) với mọi m, n.
Bài 8: Chứng minh bốn đường thẳng y = (2m – 3)x – 4m + 5; y = (m + 1)x – 2m – 3; y = (2 – m)x + 2m – 5 và y = (1 – 3m)x + 6m – 3 luôn đồng quy tại một điểm với mọi m.
Hướng dẫn giải:
Hướng dẫn: Chứng minh cả 4 đường thẳng trên đều đi qua điểm cố định A(2; -1).
Bài 9: Cho hàm số y = (m – 2)x + 2m – 1. Tìm m sao cho khoảng cách từ gốc tọa độ O đến đồ thị hàm số lớn nhất.
Hướng dẫn giải:
+ Gọi (xo; yo) là điểm mà đường thẳng (d) đi qua với mọi m.
⇔ yo = (m – 2)xo + 2m – 1
⇔ m(xo + 2) – 2xo – 1 – yo = 0
Vậy đồ thị hàm số luôn đi qua A(-2; 3).
+ Gọi H là chân đường vuông góc hạ từ O đến (d)
Ta có OH vuông góc với đường thẳng, OA là đường xiên
⇒ OH ≤ OA.
OH = OA ⇔ d ⊥ OA.
+ Đường thẳng đi qua hai điểm O và A là y = -3/2x
+ d ⊥ OA ⇔ (m – 2). -3/2 = -1 ⇔ m – 2 = 2/3 ⇔ m = 8/3 .
Vậy m = 8/3 .
Bài 10: Cho hàm số: y = (3 – m)x + 3. Tìm m sao cho khoảng cách từ điểm B(1; 2) đến đồ thị hàm số là lớn nhất.
Hướng dẫn giải:
Cho hàm số: y = (3 – m)x + 3. Tìm m sao cho khoảng cách từ điểm B(1; 2) đến đồ thị hàm số là lớn nhất.
+ Gọi A(xo; yo) là điểm cố định mà đường thẳng (d): y = (3 – m)x + 3 đi qua.
⇔ yo = (3 – m)xo + 3 với
⇔ mxo + yo – 3xo – 3 = 0
Vậy đường thẳng y = (3 – m)x + 3 luôn đi qua A(0; 3).
+ Gọi H là chân đường vuông góc hạ từ B đến d.
BH là hình chiếu, BA là đường xiên
⇒ BH ≤ BA với mọi m .
+ BH = BA ⇔ d ⊥ BA.
+ Gọi đường thẳng đi qua B và A là y = ax + b
B(1; 2) và A(0; 3) ∈ y = ax + b ⇔
Vậy đường thẳng đi qua A và B là AB: y = -x + 3.
+ d ⊥ AB ⇔ (3 – m).(-1) = -1 ⇔ 3 – m = 1 ⇔ m = 2.
Vậy m = 2.
(199k) Xem Khóa học Toán 9 KNTTXem Khóa học Toán 9 CDXem Khóa học Toán 9 CTST
Xem thêm các dạng bài tập Toán lớp 9 có đáp án và lời giải chi tiết khác:
- Phương pháp Tìm tập xác định của hàm số
- Phương pháp Tìm tập giá trị của hàm số
- Xét tính đồng biến, nghịch biến của hàm số
- Tìm hoành độ giao điểm của đồ thị hàm số
- Cách xác định hàm số bậc nhất: tập xác định, đồng biến, nghịch biến
- Cách làm bài toán Đồ thị hàm số lớp 9 cực hay (có lời giải)
- Bài toán hai đường thẳng song song, cắt nhau, trùng nhau
- Bài toán Đồ thị hàm số trị tuyệt đối cực hay
Mục lục các Chuyên đề Toán lớp 9:
- Chuyên đề Đại Số 9
- Chuyên đề: Căn bậc hai
- Chuyên đề: Hàm số bậc nhất
- Chuyên đề: Hệ hai phương trình bậc nhất hai ẩn
- Chuyên đề: Phương trình bậc hai một ẩn số
- Chuyên đề Hình Học 9
- Chuyên đề: Hệ thức lượng trong tam giác vuông
- Chuyên đề: Đường tròn
- Chuyên đề: Góc với đường tròn
- Chuyên đề: Hình Trụ - Hình Nón - Hình Cầu
Tủ sách VIETJACK luyện thi vào 10 cho 2k11 (2026):
Đã có app VietJack trên điện thoại, giải bài tập SGK, SBT Soạn văn, Văn mẫu, Thi online, Bài giảng....miễn phí. Tải ngay ứng dụng trên Android và iOS.
Theo dõi chúng tôi miễn phí trên mạng xã hội facebook và youtube:Nếu thấy hay, hãy động viên và chia sẻ nhé! Các bình luận không phù hợp với nội quy bình luận trang web sẽ bị cấm bình luận vĩnh viễn.
- Giải Tiếng Anh 9 Global Success
- Giải sgk Tiếng Anh 9 Smart World
- Giải sgk Tiếng Anh 9 Friends plus
- Lớp 9 Kết nối tri thức
- Soạn văn 9 (hay nhất) - KNTT
- Soạn văn 9 (ngắn nhất) - KNTT
- Giải sgk Toán 9 - KNTT
- Giải sgk Khoa học tự nhiên 9 - KNTT
- Giải sgk Lịch Sử 9 - KNTT
- Giải sgk Địa Lí 9 - KNTT
- Giải sgk Giáo dục công dân 9 - KNTT
- Giải sgk Tin học 9 - KNTT
- Giải sgk Công nghệ 9 - KNTT
- Giải sgk Hoạt động trải nghiệm 9 - KNTT
- Giải sgk Âm nhạc 9 - KNTT
- Giải sgk Mĩ thuật 9 - KNTT
- Lớp 9 Chân trời sáng tạo
- Soạn văn 9 (hay nhất) - CTST
- Soạn văn 9 (ngắn nhất) - CTST
- Giải sgk Toán 9 - CTST
- Giải sgk Khoa học tự nhiên 9 - CTST
- Giải sgk Lịch Sử 9 - CTST
- Giải sgk Địa Lí 9 - CTST
- Giải sgk Giáo dục công dân 9 - CTST
- Giải sgk Tin học 9 - CTST
- Giải sgk Công nghệ 9 - CTST
- Giải sgk Hoạt động trải nghiệm 9 - CTST
- Giải sgk Âm nhạc 9 - CTST
- Giải sgk Mĩ thuật 9 - CTST
- Lớp 9 Cánh diều
- Soạn văn 9 Cánh diều (hay nhất)
- Soạn văn 9 Cánh diều (ngắn nhất)
- Giải sgk Toán 9 - Cánh diều
- Giải sgk Khoa học tự nhiên 9 - Cánh diều
- Giải sgk Lịch Sử 9 - Cánh diều
- Giải sgk Địa Lí 9 - Cánh diều
- Giải sgk Giáo dục công dân 9 - Cánh diều
- Giải sgk Tin học 9 - Cánh diều
- Giải sgk Công nghệ 9 - Cánh diều
- Giải sgk Hoạt động trải nghiệm 9 - Cánh diều
- Giải sgk Âm nhạc 9 - Cánh diều
- Giải sgk Mĩ thuật 9 - Cánh diều


Giải bài tập SGK & SBT
Tài liệu giáo viên
Sách
Khóa học
Thi online
Hỏi đáp

