Dạng bài tập Tính giá trị biểu thức cực hay (có lời giải)
Cách giải bài tập Tính giá trị biểu thức lớp 9 với phương pháp giải chi tiết và bài tập đa dạng giúp học sinh ôn tập, biết cách làm bài tập Tính giá trị biểu thức.
Dạng bài tập Tính giá trị biểu thức cực hay (có lời giải)
(199k) Xem Khóa học Toán 9 KNTTXem Khóa học Toán 9 CDXem Khóa học Toán 9 CTST
Phương pháp giải
a) Kiến thức cần nhớ.
- Căn bậc hai của một số a không âm là số x sao cho x2 = a.
Số a > 0 có hai căn bậc hai là √a và -√a , trong đó √a được gọi là căn bậc hai số học của a.
- Căn bậc ba của một số thực a là số x sao cho x3 = a, kí hiệu .
- Phép khai phương đơn giải:
b) Phương pháp giải:
- Sử dụng các hằng đẳng thức để biến đổi biểu thức trong căn.
Ví dụ minh họa
Ví dụ 1: Tính:
Hướng dẫn giải:
a) Căn bậc hai của 81 bằng 9.
Ví dụ 2: Tính:
Hướng dẫn giải:
Ví dụ 3: Tính giá trị các biểu thức
Hướng dẫn giải:
Ví dụ 4: Tính giá trị biểu thức
Hướng dẫn giải:
Tại x = 5 ta có:
Bài tập trắc nghiệm tự luyện
Bài 1: Căn bậc hai số học của 64 là:
A. 8 B. -8 C. 32 D. -32
Đáp án:
Chọn A. 8
Căn bậc hai số học của 64 là 8 vì 82 = 64.
Bài 2: Căn bậc ba của -27 là:
A. 3 B. 9 C. -9 D. -3.
Đáp án:
Chọn D. -3
Căn bậc ba của -27 là -3 vì (-3)3 = -27.
Bài 3: Giá trị biểu thức bằng :
A. -1 + 4√5 B. 1 + 2√5 C. 1 - 4√5 D. √5 - 1
Đáp án:
Chọn B.
Bài 4: Kết quả của phép tính là :
A. 2√2 B. -2√2 C. 2√5 D. -2√5
Đáp án: B
Bài 5: Giá trị biểu thức tại x = 4 là :
A. 2√15 B. -2√15 C. 2 D. -2.
Đáp án: C
Tại x = 4 thì
Bài 6: Viết các biểu thức sau thành bình phương của biểu thức khác :
a) 4 - 2√3 b) 7 + 4√3 c) 13 - 4√3
Hướng dẫn giải:
a) 4 - 2√3 = 3 - 2√3 + 1 = (√3-1)2
b) 7 + 4√3 = 4 + 2.2.√3 + 3 = (2 + √3)2
c) 13 - 4√3 = (2√3)2 - 2.2√3 + 1= (2√3-1)2 .
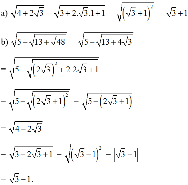
Bài 7: Tính giá trị của các biểu thức :
Hướng dẫn giải:
Bài 8: Rút gọn các biểu thức :
Hướng dẫn giải:
Bài 9: Tính:
Hướng dẫn giải:
Ta có:
Do đó:
Bài 10: Rút gọn biểu thức
Hướng dẫn giải:
Phân tích:
Ta để ý:
√60 = 2√15 = 2√5.√3
√140 = 2√35 = 2√5.√7
√84 = 2√21 = 2√7.√3
Và 15 = 3 + 5 + 7.
Ta thấy hình dáng của hằng đẳng thức :
a2 + b2 + c2 + 2ab + 2bc + 2ca = a2 + b2 + c2
Giải:
Bài tập tự luyện
Bài 1. Tính giá trị biểu thức
a) ;
b) .
Bài 2. Tính
a)
b)
c)
Bài 3. Rút gọn: .
Bài 4. Tính giá trị biểu thức A = : tại x = .
Bài 5. Tại x = - tính giá trị biểu thức P = .
Mục lục các Chuyên đề Toán lớp 9:
- Chuyên đề Đại Số 9
- Chuyên đề: Căn bậc hai
- Chuyên đề: Hàm số bậc nhất
- Chuyên đề: Hệ hai phương trình bậc nhất hai ẩn
- Chuyên đề: Phương trình bậc hai một ẩn số
- Chuyên đề Hình Học 9
- Chuyên đề: Hệ thức lượng trong tam giác vuông
- Chuyên đề: Đường tròn
- Chuyên đề: Góc với đường tròn
- Chuyên đề: Hình Trụ - Hình Nón - Hình Cầu
Tủ sách VIETJACK luyện thi vào 10 cho 2k11 (2026):
Đã có app VietJack trên điện thoại, giải bài tập SGK, SBT Soạn văn, Văn mẫu, Thi online, Bài giảng....miễn phí. Tải ngay ứng dụng trên Android và iOS.
Theo dõi chúng tôi miễn phí trên mạng xã hội facebook và youtube:Nếu thấy hay, hãy động viên và chia sẻ nhé! Các bình luận không phù hợp với nội quy bình luận trang web sẽ bị cấm bình luận vĩnh viễn.
- Giải Tiếng Anh 9 Global Success
- Giải sgk Tiếng Anh 9 Smart World
- Giải sgk Tiếng Anh 9 Friends plus
- Lớp 9 Kết nối tri thức
- Soạn văn 9 (hay nhất) - KNTT
- Soạn văn 9 (ngắn nhất) - KNTT
- Giải sgk Toán 9 - KNTT
- Giải sgk Khoa học tự nhiên 9 - KNTT
- Giải sgk Lịch Sử 9 - KNTT
- Giải sgk Địa Lí 9 - KNTT
- Giải sgk Giáo dục công dân 9 - KNTT
- Giải sgk Tin học 9 - KNTT
- Giải sgk Công nghệ 9 - KNTT
- Giải sgk Hoạt động trải nghiệm 9 - KNTT
- Giải sgk Âm nhạc 9 - KNTT
- Giải sgk Mĩ thuật 9 - KNTT
- Lớp 9 Chân trời sáng tạo
- Soạn văn 9 (hay nhất) - CTST
- Soạn văn 9 (ngắn nhất) - CTST
- Giải sgk Toán 9 - CTST
- Giải sgk Khoa học tự nhiên 9 - CTST
- Giải sgk Lịch Sử 9 - CTST
- Giải sgk Địa Lí 9 - CTST
- Giải sgk Giáo dục công dân 9 - CTST
- Giải sgk Tin học 9 - CTST
- Giải sgk Công nghệ 9 - CTST
- Giải sgk Hoạt động trải nghiệm 9 - CTST
- Giải sgk Âm nhạc 9 - CTST
- Giải sgk Mĩ thuật 9 - CTST
- Lớp 9 Cánh diều
- Soạn văn 9 Cánh diều (hay nhất)
- Soạn văn 9 Cánh diều (ngắn nhất)
- Giải sgk Toán 9 - Cánh diều
- Giải sgk Khoa học tự nhiên 9 - Cánh diều
- Giải sgk Lịch Sử 9 - Cánh diều
- Giải sgk Địa Lí 9 - Cánh diều
- Giải sgk Giáo dục công dân 9 - Cánh diều
- Giải sgk Tin học 9 - Cánh diều
- Giải sgk Công nghệ 9 - Cánh diều
- Giải sgk Hoạt động trải nghiệm 9 - Cánh diều
- Giải sgk Âm nhạc 9 - Cánh diều
- Giải sgk Mĩ thuật 9 - Cánh diều


Giải bài tập SGK & SBT
Tài liệu giáo viên
Sách
Khóa học
Thi online
Hỏi đáp

