Biến đổi căn thức bậc hai đơn giản
Cách giải Biến đổi căn thức bậc hai đơn giản lớp 9 với phương pháp giải chi tiết và bài tập đa dạng giúp học sinh ôn tập, biết cách làm bài tập Biến đổi căn thức bậc hai đơn giản.
Biến đổi căn thức bậc hai đơn giản
(199k) Xem Khóa học Toán 9 KNTTXem Khóa học Toán 9 CDXem Khóa học Toán 9 CTST
A. Phương pháp giải
Dựa vào quy tắc nhân các căn bậc hai:
- Với a,b ≥ 0 thì √a . √b = √ab .
- Với a ≥ 0, b≥ 0 thì
Sau đó thực hiện các phép biến đổi đơn giản biểu thức chứa căn rồi thu gọn các căn thức đồng dạng hoặc rút gọn.
B. Bài tập tự luận
Bài 1: Đưa thừa số vào trong dấu căn
a, 3√5
b, 2/7√35
c, -4√(1/8)
d, -0,06√250
e, x√x
f, y√(x/y)
Hướng dẫn giải
a. 3√5 = √(32.5) = √45
b. 2/7√35 = √((2/7)2. 35)= √20/7
c. -4√(1/8) = -√(42.1/8) = -√2
d. -0,06√250 = -√(0,06)2.250 = -√0,9
e. x√x = √(x2.x) = √x3
f. y√(x/y) = √y2.(x/y)= √(xy)
Bài 2: Thực hiện phép tính
Hướng dẫn giải
1. √(12,1. 160) = √12,1 . √160 = √121 . √16 = 11 . 4 = 44
2. √(2500.4,9.0,9) = √(25.49.9) = √25 . √49 √9 = 5 .7 . 3 = 105
3. √72 . √50 = √(72.50) = √(36.100) = √36 . √100 = 6.10 =60
5. (√20 + √45 - √5)√5 = √100 + √225 - √25 = 10 + 15 - 5 = 20
6. (√12 + √3)(√27 - √3) = √324 - √36 + √81 -√9 = 18 - 6 + 9 - 3 = 18
7. (√5 - √3 + 1)(√5 - 1) = 5 - √5 - √15 +√3 + √5 - 1 = 4 - √15 + √3
8. √45 : √80 = √(45/80) = √(9/16) = √(3/4)
9. (√45 - √125 + √20) : √5 = √9 - √25 + √4 = 3 - 5 + 2 = 0
Bài 3: Thực hiện phép tính sau:
Hướng dẫn giải
3. 5√48 - 4√27 - 2√75 + √108 = 5√(42.3) - 4√(32.3) - 2√(52.3) + √(62.3)
= 20√3 - 12√3 - 10√3 + 6√3 = 4√3
4. 10√28 + 2√275 - 3√343 - 3/2√396
= 10√(4.7) + 2√(11.25) - 3√(73) - 3/2√(36.11)
= 20√7 + 10√11 - 21√7 -3/2.6√11
= √11 - √7
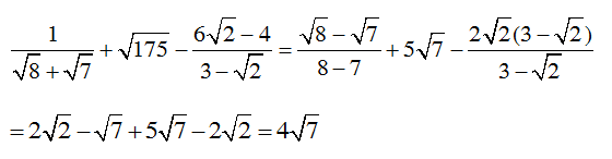
Bài 4: Thực hiện phép tính
Hướng dẫn giải
1.
2.
3.
4.
Bài 5: Rút gọn biểu thức sau
Hướng dẫn giải
a.
b.
c.
d.
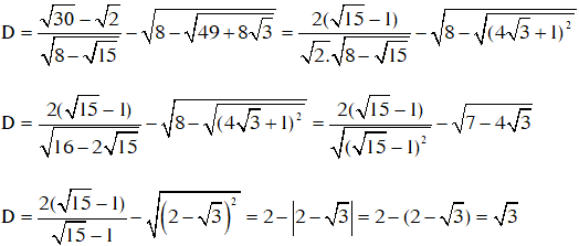
Bài 6: Rút gọn biểu thức sau
Hướng dẫn giải
a.
b.
(199k) Xem Khóa học Toán 9 KNTTXem Khóa học Toán 9 CDXem Khóa học Toán 9 CTST
Tham khảo thêm Chuyên đề các dạng bài tập Toán lớp 9 chọn lọc, hay khác:
Mục lục các Chuyên đề Toán lớp 9:
- Chuyên đề Đại Số 9
- Chuyên đề: Căn bậc hai
- Chuyên đề: Hàm số bậc nhất
- Chuyên đề: Hệ hai phương trình bậc nhất hai ẩn
- Chuyên đề: Phương trình bậc hai một ẩn số
- Chuyên đề Hình Học 9
- Chuyên đề: Hệ thức lượng trong tam giác vuông
- Chuyên đề: Đường tròn
- Chuyên đề: Góc với đường tròn
- Chuyên đề: Hình Trụ - Hình Nón - Hình Cầu
Tủ sách VIETJACK luyện thi vào 10 cho 2k11 (2026):
Đã có app VietJack trên điện thoại, giải bài tập SGK, SBT Soạn văn, Văn mẫu, Thi online, Bài giảng....miễn phí. Tải ngay ứng dụng trên Android và iOS.
Theo dõi chúng tôi miễn phí trên mạng xã hội facebook và youtube:Nếu thấy hay, hãy động viên và chia sẻ nhé! Các bình luận không phù hợp với nội quy bình luận trang web sẽ bị cấm bình luận vĩnh viễn.
- Giải Tiếng Anh 9 Global Success
- Giải sgk Tiếng Anh 9 Smart World
- Giải sgk Tiếng Anh 9 Friends plus
- Lớp 9 Kết nối tri thức
- Soạn văn 9 (hay nhất) - KNTT
- Soạn văn 9 (ngắn nhất) - KNTT
- Giải sgk Toán 9 - KNTT
- Giải sgk Khoa học tự nhiên 9 - KNTT
- Giải sgk Lịch Sử 9 - KNTT
- Giải sgk Địa Lí 9 - KNTT
- Giải sgk Giáo dục công dân 9 - KNTT
- Giải sgk Tin học 9 - KNTT
- Giải sgk Công nghệ 9 - KNTT
- Giải sgk Hoạt động trải nghiệm 9 - KNTT
- Giải sgk Âm nhạc 9 - KNTT
- Giải sgk Mĩ thuật 9 - KNTT
- Lớp 9 Chân trời sáng tạo
- Soạn văn 9 (hay nhất) - CTST
- Soạn văn 9 (ngắn nhất) - CTST
- Giải sgk Toán 9 - CTST
- Giải sgk Khoa học tự nhiên 9 - CTST
- Giải sgk Lịch Sử 9 - CTST
- Giải sgk Địa Lí 9 - CTST
- Giải sgk Giáo dục công dân 9 - CTST
- Giải sgk Tin học 9 - CTST
- Giải sgk Công nghệ 9 - CTST
- Giải sgk Hoạt động trải nghiệm 9 - CTST
- Giải sgk Âm nhạc 9 - CTST
- Giải sgk Mĩ thuật 9 - CTST
- Lớp 9 Cánh diều
- Soạn văn 9 Cánh diều (hay nhất)
- Soạn văn 9 Cánh diều (ngắn nhất)
- Giải sgk Toán 9 - Cánh diều
- Giải sgk Khoa học tự nhiên 9 - Cánh diều
- Giải sgk Lịch Sử 9 - Cánh diều
- Giải sgk Địa Lí 9 - Cánh diều
- Giải sgk Giáo dục công dân 9 - Cánh diều
- Giải sgk Tin học 9 - Cánh diều
- Giải sgk Công nghệ 9 - Cánh diều
- Giải sgk Hoạt động trải nghiệm 9 - Cánh diều
- Giải sgk Âm nhạc 9 - Cánh diều
- Giải sgk Mĩ thuật 9 - Cánh diều


Giải bài tập SGK & SBT
Tài liệu giáo viên
Sách
Khóa học
Thi online
Hỏi đáp

