Lý thuyết Gene và sự tái bản DNA (Sinh 12 Cánh diều Bài 1)
Với tóm tắt lý thuyết Sinh 12 Bài 1: Gene và sự tái bản DNA hay nhất, ngắn gọn sẽ giúp học sinh lớp 12 nắm vững kiến thức trọng tâm, ôn luyện để học tốt môn Sinh học 12.
Lý thuyết Gene và sự tái bản DNA (Sinh 12 Cánh diều Bài 1)
I. CHỨC NĂNG CỦA DNA
- Ở hầu hết sinh vật, DNA (deoxyribonucleic aicd) là vật chất di truyền; có chức năng mang thông tin di truyền, truyền thông tin di truyền, biểu hiện thông tin di truyền và tạo biến dị.
Cấu trúc hóa học của DNA
- DNA có cấu trúc hóa học phù hợp với việc thực hiện chức năng của đại phân tử này trong tế bào và cơ thể.
a. DNA có cấu trúc hóa học phù hợp với chức năng mang thông tin di truyền
- Những đặc điểm cấu trúc giúp DNA thực hiện được chức năng mang thông tin di truyền: DNA được cấu trúc theo nguyên tắc đa phân, gồm 4 loại đơn phân là các nucleotide A, T, G, C (nucleotide cấu tạo nên DNA gồm có 3 phần chính: đường deoxyribose; nhóm phosphate; nitrogene base gồm 4 loại A, T, G, C) liên kết với nhau nhờ liên kết phosphodiester để tạo thành mạch DNA → Từ 4 loại đơn phân này với thành phần, số lượng và trật tự sắp xếp khác nhau đã tạo nên vô số phân tử DNA đặc thù, đảm bảo khả năng mang được một lượng lớn thông tin di truyền.
- Những đặc điểm cấu trúc giúp DNA thực hiện được chức năng bảo quản thông tin di truyền:
+ DNA có cấu tạo mạch kép nên cấu trúc ổn định, ít bị sai hỏng.
+ DNA có cấu trúc mạch kép theo NTBS (A chỉ liên kết với T, G chỉ liên kết với C và ngược lại) nên khi một mạch của DNA bị sai hỏng thì các enzyme của tế bào có thể sử dụng mạch bình thường để làm khuôn sửa chữa sai hỏng đó.
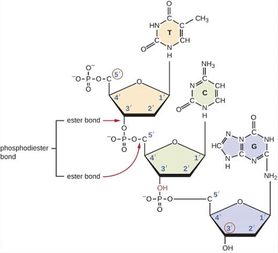
+ Liên kết phosphodiester giữa các nucleotide trong một mạch của DNA là loại liên kết cộng hóa trị rất bền vững.
Liên kết phosphodiester giữa các nucleotide trong một mạch của DNA
+ Liên kết hydrogene giữa các base giữa hai mạch trong phân tử DNA mạch kép là loại liên kết yếu nhưng số lượng liên kết hydrogene trong DNA là rất lớn nên cũng góp phần đảm bảo duy trì cấu trúc phân tử DNA bền vững.
b. DNA có cấu trúc hóa học phù hợp với chức năng truyền thông tin di truyền
- Những đặc điểm cấu trúc giúp DNA thực hiện được chức năng truyền đạt thông tin di truyền:
+ Liên kết hydrogene giữa các base trong hai mạch là loại liên kết yếu nên có thể bị phá vỡ trong điều kiện nhất định giúp DNA có khả năng tách thành hai mạch đơn trong quá trình truyền đạt thông tin di truyền.
+ Các nucleotide trên hai mạch đơn của DNA được kết cặp đặc hiệu theo nguyên tắc bổ sung và trong quá trình tái bản DNA mỗi mạch đơn sẽ được sử dụng làm mạch khuôn để tổng hợp mạch đơn mới cũng theo nguyên tắc bổ sung. Điều này sẽ đảm bảo cho thông tin di truyền trên DNA được truyền đạt gần như nguyên vẹn qua các thế hệ tế bào và cơ thể.
c. DNA có cấu trúc hóa học phù hợp với chức năng biểu hiện thông tin di truyền
- Những đặc điểm cấu trúc giúp DNA thực hiện chức năng biểu hiện thông tin di truyền: DNA là cấu trúc mang gene. Thông tin di truyền trong gene được biểu hiện thành tính trạng nhờ cơ chế phiên mã và dịch mã dựa trên nguyên tắc bổ sung.
Sơ đồ thể hiện chức năng biểu hiện thông tin di truyền của DNA
d. DNA có cấu trúc hóa học phù hợp với chức năng tạo biến dị
- Những đặc điểm cấu trúc giúp DNA thực hiện chức năng tạo biến dị: Trình tự nucleotide của DNA có khả năng biến đổi dẫn đến sự thay đổi thông tin di truyền, tạo nên biến dị ở sinh vật. Biến dị di truyền là nguyên liệu cơ sở cho quá trình tiến hóa và sự đa dạng của sinh vật.
Đột biến gene là nguồn nguyên liệu sơ cấp cho quá trình tiến hóa và chọn giống
II. KHÁI NIỆM, CẤU TRÚC VÀ PHÂN LOẠI GENE
1. Khái niệm và cấu trúc của gene
a. Khái niệm của gene
- Gene là đoạn trình tự nucleotide trên DNA mang thông tin di truyền mã hóa RNA hoặc chuỗi polypeptide.
- Gene là đơn vị cấu trúc và chức năng cơ bản của di truyền, các gene được phân bố theo chiều dài phân tử DNA.
Gene phân bố theo chiều dài phân tử DNA
b. Cấu trúc của gene
- Cấu trúc của gene gồm 03 vùng:
Mô hình cấu trúc của gene
Vùng cấu trúc |
Vị trí |
Chức năng |
Vùng điều hòa |
-Nằm ở đầu 3’ của mạch mã gốc của gene. |
- Có trình tự nucleotide đặc biệt (promoter) giúp enzyme RNA polymerase có thể nhận biết và liên kết để khởi động quá trình phiên mã và trình tự nucleotide liên kết với protein điều hoà (operator) để điều khiển quá trình phiên mã. |
Vùng mã hóa |
- Nằm ở giữa gene. |
- Có chứa trình tự nucleotide quy địnhtrình tự RNA hoặc chuỗi polypeptide. |
Vùng kết thúc |
- Nằm ở đầu 5’ của mạch mã gốc của gene. |
- Mang tín hiệu kết thúc quá trình phiên mã. |
2. Phân loại gene
- Dựa vào chức năng, các gene được phân loại thành gene cấu trúc và gene điều hòa.
+ Gene cấu trúc là gene mã hóa protein có vai trò hình thành cấu trúc hoặc thực hiện một chức năng khác nhưng không có chức năng điều hòa.
+ Gene điều hòa là gene mã hóa protein có chức năng điều hòa hoạt động của gene cấu trúc.
- Dựa vào cấu trúc vùng mã hóa, gene được chia thành gene không phân mảnh và gene phân mảnh.
Sơ đồ khái quát cấu trúc một gene ở sinh vật: nhân sơ (a) và nhân thực (b)
Gene phân mảnh |
Gene không phân mảnh |
- Có ở sinh vật nhân thực và vi khuẩn cổ. |
- Có ở sinh vật nhân sơ và chiếm tỉ lệ nhỏ ở sinh vật nhân thực. |
- Có vùng mã hoá không liên tục: Vùng mã hóa chứa các đoạn trình tự được dịch mã (exon) xen kẽ với các đoạn trình tự không được dịch mã (intron). |
- Có vùng mã hoá liên tục: Vùng mã hóa chỉ chứa trình tự được dịch mã (exon). |
III. TÁI BẢN DNA
- Tái bản DNA còn gọi là quá trình tự nhân đôi của phân tử DNA, là quá trình tạo ra bản sao giống với phân tử DNA ban đầu.
a. Nơi diễn ra
- Ở sinh vật nhân sơ: diễn ra ở tế bào chất (chủ yếu ở vùng nhân).
- Ở sinh vật nhân thực: diễn ra chủ yếu trong nhân, tại các NST hoặc cũng có thể diễn ra cả trong tế bào chất (ti thể, lục lạp).
b. Thời gian diễn ra
- Ở sinh vật nhân thực, quá trình tái bản DNA diễn ra ở kì trung gian (pha S) giữa hai lần phân bào.
c. Thành phần tham gia
- Cả hai mạch của phân tử DNA mẹ dùng làm khuôn để tái bản.
- Các nucleotide môi trường cung cấp (gồm 8 loại nucleotide: A, T, G, C của DNA dùng để tổng hợp mạch DNA mới; A, U, G, C của RNA để tổng hợp các đoạn mồi).
- Các enzyme tham gia có chức năng khác nhau:
Enzyme |
Chức năng |
Enzyme tháo xoắn (topoisomerase) |
Tháo xoắn phân tử DNA. |
Enzyme tách mạch (enzyme helicase) |
Tháo xoắn và cắt đứt liên kết hydrogen, tách DNA thành 2 mạch đơn. |
Enzyme DNA polymerase |
Gắn các nucleotide theo nguyên tắc bổ sung để tổng hợp mạch mới theo chiều 5’ → 3’. |
Enzyme RNA polymerase (enzyme primase) |
Tổng hợp đoạn mồi RNA, tạo đầu – 3’ OH tự do. |
Enzyme ligase |
Nối các đoạn Okazaki tạo mạch DNA hoàn chỉnh. |
d. Nguyên tắc tái bản
- Tái bản DNA diễn ra theo những nguyên tắc sau:
+ Nguyên tắc bổ sung: Để tổng hợp mạch DNA mới, các nucleotide ở mạch khuôn liên kết với các nucleotide tự do trong môi trường nội bào theo nguyên tắc bổ sung: A liên kết với T hay ngược lại, G liên kết với C hay ngược lại.
+ Nguyên tắc bán bảo toàn: Trong mỗi DNA con có một mạch của DNA mẹ (mạch cũ), mạch còn lại được tổng hợp mới.
Nguyên tắc bán bảo toàn trong tái bản DNA
e. Diễn biến
Một chạc tái bản DNA
• Tháo xoắn phân tử DNA: Tái bản DNA bắt đầu xảy ra ở vị trí mở đầu tái bản trên phân tử DNA. Với sự xúc tác của các enzyme như helicase, topoisomerase, trình tự DNA dãn xoắn, các liên kết hydrogen giữa các nucleotide trên hai mạch của DNA bị bẻ gãy tạo ra đoạn DNA mạch đơn và hình thành hai chạc tái bản ngược chiều nhau.
Cấu trúc một điểm khởi đầu tái bản
• Tổng hợp mạch DNA:
- Ở mỗi chạc tái bản, enzyme primase xúc tác tổng hợp đoạn mồi RNA, sau đó, hai mạch mới được tổng hợp kéo dài theo chiều 5’ → 3’ nhờ sự xúc tác của enzyme DNA polymerase.
- Enzyme DNA polymerase thực hiện gắn các nucleotide tự do để tổng hợp mạch DNA mới theo chiều 5’ → 3’ dựa trên mạch khuôn của DNA mẹ theo nguyên tắc bổ sung (A liên kết với T, T liên kết với A, G liên kết với C, C liên kết với G).
- Do DNA polymerase chỉ thực hiện gắn nucleotide khi có đầu 3’OH tự do của đoạn RNA mồi và hai mạch của phân tử DNA mẹ có chiều ngược nhau nên:
+ Trên mạch khuôn có chiều 3’ → 5’ (mạch gốc): RNA polymerase tổng hợp 1 đoạn mồi RNA theo chiều 5’ → 3’, cung cấp đầu 3’ – OH để enzyme DNA polymerase tiếp tục tổng hợp mạch mới theo chiều 5’ → 3’, liên tục cùng chiều tháo xoắn → Mạch dẫn đầu.
+ Trên mạch khuôn có chiều 5’ → 3’ (mạch bổ sung): mạch mới được tổng hợp gián đoạn, ngược chiều tháo xoắn với đoạn mồi riêng tạo thành từng phân đoạn Okazaki. Sau đó, enzyme DNA ligase xúc tác nối các phân đoạn này, các đoạn mồi RNA được thay thế bởi đoạn DNA nhờ enzyme DNA polymerase khác → Mạch ra chậm.
• Tạo thành phân tử DNA: Từ một phân tử DNA ban đầu, qua tái bản 1 lần tạo ra 2 phân tử DNA mới có cấu trúc giống nhau và giống DNA mẹ ban đầu. Trong mỗi phân tử DNA mới được tạo thành có một mạch DNA mới được tổng hợp và một mạch DNA của phân tử DNA mẹ.
g. Ý nghĩa
- Tái bản DNA là quá trình truyền thông tin di truyền qua các thế hệ tế bào: Trước khi nguyên phân, ở pha S của chu kì tế bào, DNA trong tế bào mẹ tái bản. Quá trình tái bản tuân theo nguyên tắc bổ sung và nguyên tắc bán bảo toàn dẫn đến kết quả của quá trình tái bản tạo thành hai phân tử DNA (bản sao) có cấu trúc giống nhau và giống DNA mẹ. Sau quá trình tái bản, nhờ sự phân bào, mỗi bản sao phân chia về một tế bào con. Nhờ đó, hai tế bào con tạo thành sau nguyên phân có thông tin di truyền giống nhau. Như vậy, tái bản DNA là quá trình truyền thông tin di truyền qua các thế hệ tế bào.
- Thông tin di truyền được duy trì ổn định qua các thế hệ ở sinh vật sinh sản hữu tính nhờ sự nhân đôi của nhiễm sắc thể bắt nguồn từ sự tái bản DNA, sự phân li và tổ hợp của nhiễm sắc thể trong các cơ chế nguyên phân, giảm phân và thụ tinh:
+ Ở cơ thể trưởng thành, tế bào sinh dục chín trải qua giảm phân tạo ra các giao tử. Trong giảm phân, sự nhân đôi của nhiễm sắc thể bắt nguồn từ sự tái bản DNA xảy ra một lần trước khi giảm phân I. Sự phân li của các nhiễm sắc thể trong giảm phân I và giảm phân II tạo ra các giao tử chỉ mang một nửa số lượng phân tử DNA so với số phân tử DNA có trong nhân tế bào lưỡng bội trước giảm phân.
+ Trong quá trình thụ tinh, sự kết hợp các nhiễm sắc thể trong giao tử đực và giao tử cái chứa bản sao DNA từ bố và từ mẹ tạo nên các cặp nhiễm sắc thể tương đồng ở hợp tử.
+ Trước khi nguyên phân, ở pha S của chu kì tế bào, DNA trong tế bào mẹ tái bản; khi nguyên phân, hai bản sao phân chia về hai tế bào con. Nhờ đó, bộ nhiễm sắc thể lưỡng bội mang thông tin di truyền trong hợp tử được di truyền cho các thế hệ tế bào con. Kết hợp với sự biệt hóa tế bào đã hình thành các mô, cơ quan và hệ cơ quan của cơ thể mang thông tin di truyền đặc trưng của loài.
Quá trình truyền đạt thông tin di truyền qua các thế hệ ở người
→ Tái bản DNA là cơ chế phân tử của sự truyền thông tin di truyền qua các thế hệ tế bào và các thế hệ cơ thể.
IV. THỰC HÀNH TÁCH CHIẾT DNA
1. Cơ sở lí thuyết
- Có thể tách chiết DNA từ tế bào sinh vật thông qua việc phá vỡ tế bào bằng dung dịch chất tẩy rửa và NaCl; kết tủa DNA bằng dung môi như ethanol hoặc isopropanol.
2. Các bước tiến hành
Chuẩn bị
- Dụng cụ: cối và chày sứ, cốc thuỷ tinh, cốc đong (cốc có chia vạch), ống nghiệm, phễu, giấy lọc, thìa, thiết bị chụp ảnh.
- Hóa chất: ethanol 90° hoặc isopropanol 99% được giữ lạnh ở nhiệt độ 2 - 4 °C, nước rửa bát dạng lỏng, muối ăn (NaCl), nước cất.
- Mẫu vật (Chọn một trong số các loại mẫu vật sau): quả dâu tây, quả chuối, củ hành tây, lá non hoặc gan lợn. Mẫu vật được giữ ở ngăn đông của tủ lạnh (- 20 đến 0 °C) qua đêm trước khi dùng để tách DNA.
Tiến hành
- Cho 50 g mẫu thực vật vào cối sứ. Dùng chày sứ nghiền nát mẫu thành hỗn hợp đồng nhất.
- Dùng cốc đong, lấy 50 mL nước cất, bổ sung 1 thìa muối ăn khoảng 5 g và 1 - 2 mL nước rửa bát dạng lỏng, lắc trộn đều tạo thành một hỗn hợp.
- Rót hỗn hợp này vào cối có mẫu đã nghiền sẵn, trộn đều mẫu trong hỗn hợp tạo dịch nghiền đồng nhất. Rót dịch nghiền đó vào phễu có lót sẵn giấy lọc để lọc bỏ phần bã, thu được dịch lọc.
- Rót một thể tích tương đương ethanol (hoặc isopropanol) lạnh vào cốc (ống nghiệm) dịch lọc (Chú ý: rót từ từ vào thành cốc để tạo thành một lớp ethanol (hoặc isopropanol) phía trên dịch lọc). Các sợi màu trắng từ từ xuất hiện trong lớp ethanol phía trên. Chuyển dung dịch ethanol phía trên chứa DNA sang một ống nghiệm sạch. Để ống nghiệm ở nhiệt độ 0 - 4 °C, DNA từ từ kết tủa trong dung dịch ethanol (hình 1.4).
- Chụp ảnh kết quả tách chiết DNA.
DNA kết tủa trong dung dịch ethanol sau khi tách chiết từ lá rau cải xanh
3. Báo cáo kết quả thí nghiệm
- Trả lời câu hỏi:
(1) Vì sao cần bổ sung nước rửa bát vào mẫu sau khi nghiền?
(2) Mục đích của việc sử dụng ethanol 90° hoặc isopropanol 99% trong tách chiết DNA là gì?
- Viết báo cáo kết quả thí nghiệm theo mẫu dưới đây:
Xem thêm tóm tắt lý thuyết Sinh học lớp 12 Cánh diều hay khác:
Xem thêm các tài liệu học tốt lớp 12 hay khác:
- Giải sgk Sinh học 12 Cánh diều
- Giải Chuyên đề Sinh 12 Cánh diều
- Giải SBT Sinh học 12 Cánh diều
- Giải lớp 12 Cánh diều (các môn học)
- Giải lớp 12 Kết nối tri thức (các môn học)
- Giải lớp 12 Chân trời sáng tạo (các môn học)
Đã có app VietJack trên điện thoại, giải bài tập SGK, SBT Soạn văn, Văn mẫu, Thi online, Bài giảng....miễn phí. Tải ngay ứng dụng trên Android và iOS.
Theo dõi chúng tôi miễn phí trên mạng xã hội facebook và youtube:Nếu thấy hay, hãy động viên và chia sẻ nhé! Các bình luận không phù hợp với nội quy bình luận trang web sẽ bị cấm bình luận vĩnh viễn.
- Soạn văn 12 Cánh diều (hay nhất)
- Soạn văn 12 Cánh diều (ngắn nhất)
- Giải sgk Toán 12 Cánh diều
- Giải Tiếng Anh 12 Global Success
- Giải sgk Tiếng Anh 12 Smart World
- Giải sgk Tiếng Anh 12 Friends Global
- Giải sgk Vật Lí 12 - Cánh diều
- Giải sgk Hóa học 12 - Cánh diều
- Giải sgk Sinh học 12 - Cánh diều
- Giải sgk Lịch Sử 12 - Cánh diều
- Giải sgk Địa Lí 12 - Cánh diều
- Giải sgk Giáo dục KTPL 12 - Cánh diều
- Giải sgk Tin học 12 - Cánh diều
- Giải sgk Công nghệ 12 - Cánh diều
- Giải sgk Hoạt động trải nghiệm 12 - Cánh diều
- Giải sgk Giáo dục quốc phòng 12 - Cánh diều
- Giải sgk Âm nhạc 12 - Cánh diều


Giải bài tập SGK & SBT
Tài liệu giáo viên
Sách
Khóa học
Thi online
Hỏi đáp

