Các dạng bài tập Nguyên hàm chọn lọc, có đáp án
Phần Nguyên hàm Toán lớp 12 với các dạng bài tập chọn lọc giúp ôn thi Tốt nghiệp môn Toán và trên 200 bài tập trắc nghiệm chọn lọc, có đáp án. Vào Xem chi tiết để theo dõi các dạng bài Nguyên hàm hay nhất tương ứng.
Các dạng bài tập Nguyên hàm chọn lọc, có đáp án
(199k) Xem Khóa học Toán 12 KNTTXem Khóa học Toán 12 CDXem Khóa học Toán 12 CTST
Bài giảng: Cách làm bài tập nguyên hàm và phương pháp tìm nguyên hàm của hàm số cực nhanh - Cô Nguyễn Phương Anh (Giáo viên VietJack)
- Bảng công thức nguyên hàm đầy đủ Xem chi tiết
- Phương pháp tính nguyên hàm của các hàm số cơ bản (cực hay) Xem chi tiết
- Phương pháp tính nguyên hàm đổi biến số (cực hay) Xem chi tiết
- Phương pháp tính nguyên hàm từng phần (cực hay) Xem chi tiết
- Dạng 1: Tìm nguyên hàm của hàm số Xem chi tiết
- Trắc nghiệm tìm nguyên hàm của hàm số Xem chi tiết
- Dạng 2: Tìm nguyên hàm bằng phương pháp đổi biến số Xem chi tiết
- Trắc nghiệm tìm nguyên hàm bằng phương pháp đổi biến số Xem chi tiết
- Dạng 3: Tìm nguyên hàm bằng phương pháp từng phần Xem chi tiết
- Trắc nghiệm tìm nguyên hàm bằng phương pháp từng phần Xem chi tiết
- Dạng 4: Tìm nguyên hàm của hàm số hữu tỉ Xem chi tiết
- Trắc nghiệm tìm nguyên hàm của hàm số hữu tỉ Xem chi tiết
- Dạng 5: Tìm nguyên hàm thỏa mãn điều kiện cho trước Xem chi tiết
- Trắc nghiệm tìm nguyên hàm thỏa mãn điều kiện cho trước Xem chi tiết
- Nguyên hàm của hàm đa thức, hàm phân thức Xem chi tiết
- Nguyên hàm của hàm số mũ, hàm số logarit Xem chi tiết
- Nguyên hàm của hàm số lượng giác Xem chi tiết
- Tìm nguyên hàm của hàm đa thức bằng phương pháp đổi biến số Xem chi tiết
- Tìm nguyên hàm của hàm phân thức bằng phương pháp đổi biến số Xem chi tiết
- Tìm nguyên hàm của hàm số mũ, logarit bằng phương pháp đổi biến số Xem chi tiết
- Tìm nguyên hàm của hàm số lượng giác bằng phương pháp đổi biến số Xem chi tiết
- Tìm nguyên hàm của hàm chứa căn thức bằng phương pháp đổi biến số Xem chi tiết
- Tìm nguyên hàm của hàm lượng giác bằng phương pháp nguyên hàm từng phần Xem chi tiết
- Tìm nguyên hàm của hàm số mũ, logarit bằng phương pháp nguyên hàm từng phần Xem chi tiết
Bài tập trắc nghiệm
- 150 bài tập trắc nghiệm Nguyên hàm, Tích phân và ứng dụng có lời giải (cơ bản - phần 1) Xem chi tiết
- 150 bài tập trắc nghiệm Nguyên hàm, Tích phân và ứng dụng có lời giải (cơ bản - phần 2) Xem chi tiết
- 150 bài tập trắc nghiệm Nguyên hàm, Tích phân và ứng dụng có lời giải (cơ bản - phần 3) Xem chi tiết
- 150 bài tập trắc nghiệm Nguyên hàm, Tích phân và ứng dụng có lời giải (cơ bản - phần 4) Xem chi tiết
- 150 bài tập trắc nghiệm Nguyên hàm, Tích phân và ứng dụng có lời giải (nâng cao - phần 1) Xem chi tiết
- 150 bài tập trắc nghiệm Nguyên hàm, Tích phân và ứng dụng có lời giải (nâng cao - phần 2) Xem chi tiết
- 150 bài tập trắc nghiệm Nguyên hàm, Tích phân và ứng dụng có lời giải (nâng cao - phần 3) Xem chi tiết
- 150 bài tập trắc nghiệm Nguyên hàm, Tích phân và ứng dụng có lời giải (nâng cao - phần 4) Xem chi tiết
Cách tìm nguyên hàm của hàm số
A. Phương pháp giải & Ví dụ
I. NGUYÊN HÀM VÀ TÍNH CHẤT
1. Nguyên hàm
Định nghĩa: Cho hàm số f(x) xác định trên K (K là khoảng, đoạn hay nửa khoảng). Hàm số F(x) được gọi là nguyên hàm của hàm số f(x) trên K nếu F'(x) = f(x) với mọi x ∈ K.
Định lí:
1) Nếu F(x) là một nguyên hàm của hàm số f(x) trên K thì với mỗi hằng số C, hàm số G(x) = F(x) + C cũng là một nguyên hàm của f(x) trên K.
2) Nếu F(x) là một nguyên hàm của hàm số f(x) trên K thì mọi nguyên hàm của f(x) trên K đều có dạng F(x) + C, với C là một hằng số.
Do đó F(x)+C, C ∈ R là họ tất cả các nguyên hàm của f(x) trên K. Ký hiệu ∫f(x)dx = F(x) + C.
2. Tính chất của nguyên hàm
Tính chất 1: (∫f(x)dx)' = f(x) và ∫f'(x)dx = f(x) + C
Tính chất 2: ∫kf(x)dx = k∫f(x)dx với k là hằng số khác 0.
Tính chất 3: ∫[f(x) ± g(x)]dx = ∫f(x)dx ± ∫g(x)dx
3. Sự tồn tại của nguyên hàm
Định lí: Mọi hàm số f(x) liên tục trên K đều có nguyên hàm trên K.
4. Bảng nguyên hàm của một số hàm số sơ cấp
| Nguyên hàm của hàm số sơ cấp | Nguyên hàm của hàm số hợp (u = u(x) |
II. PHƯƠNG PHÁP TÍNH NGUYÊN HÀM
Phương pháp dùng định nghĩa vá tính chất
+ Biến đổi các hàm số dưới dấu nguyên hàm về dạng tổng, hiệu của các biểu thức chứa x.
+ Đưa các mỗi biểu thức chứa x về dạng cơ bản có trong bảng nguyên hàm.
+ Áp dụng các công thức nguyên hàm trong bảng nguyên hàm cơ bản.
Ví dụ minh họa
Bài 1: Tìm nguyên hàm của hàm số
Lời giải:
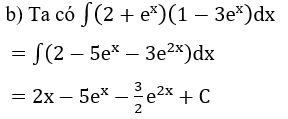
Bài 2: Tìm nguyên hàm của hàm số
Lời giải:
Tìm nguyên hàm bằng phương pháp đổi biến số
A. Phương pháp giải & Ví dụ
| STT | Dạng tích phân | Cách đặt | Đặc điểm nhận dạng |
| 1 | t = f(x) | Biểu thức dưới mẫu | |
| 2 | t = t(x) | Biểu thức ở phần số mũ | |
| 3 | t = t(x) | Biểu thức trong dấu ngoặc | |
| 4 | Căn thức | ||
| 5 | t = lnx | dx/x đi kèm biểu thức theo lnx | |
| 6 | t = sinx | cosx dx đi kèm biểu thức theo sinx | |
| 7 | t = cosx | sinx dx đi kèm biểu thức theo cosx | |
| 8 | t = tanx | ||
| 9 | t = cotx | ||
| 10 | t = eax | eax dx đi kèm biểu thức theo eax | |
| Đôi khi thay cách đặt t = t(x) bởi t = m.t(x) + n ta sẽ biến đổi dễ dàng hơn. | |||
Ví dụ minh họa
Bài 1: Tìm các họ nguyên hàm sau đây:
Lời giải:
Bài 2: Tìm các họ nguyên hàm sau đây:
Lời giải:
Bài 3: Tìm các họ nguyên hàm sau đây:
Lời giải:
Cách tìm nguyên hàm bằng phương pháp từng phần
A. Phương pháp giải & Ví dụ
Với bài toán tìm nguyên hàm của các hàm số dạng tích (hoặc thương) của hai hàm số “khác lớp hàm” ta thường sử dụng phương pháp nguyên hàm từng phần theo công thức
Dưới đây là một số trường hợp thường gặp như thế (với P(x) là một đa thức theo ẩn x)
Ví dụ minh họa
Bài 1: Tìm họ nguyên hàm của hàm số
a) ∫xsinxdx
b) ∫ex sinx dx
Lời giải:
a) Xét ∫xsinxdx
Theo công thức tính nguyên hàm từng phần, ta có
F(x) = ∫xsinxdx = -xcosx+∫cosxdx = -xcosx+sinx+C
b) Xét F(x) = ∫ex sinx dx
F(x) = ex sinx-∫ex cosx dx = ex sinx-G(x) (1)
Với G(x) = ∫ex cosx dx
G(x) = ex cosx+∫ex sinx dx+C'=ex cosx+F(x)+C' (2)
Từ (1) và (2) ta có F(x) = ex sinx-ex cosx - F(x) - C'
Ghi nhớ: Gặp ∫emx+n.sin(ax+b)dx hoặc ∫emx+n.cos(ax+b)dx ta luôn thực hiện phương pháp nguyên hàm từng phần 2 lần liên tiếp.
Bài 2: Tìm họ nguyên hàm của hàm số
a) ∫x.2x dx
b) ∫(x2-1) ex dx
Lời giải:
a) Xét ∫x.2x dx
b)
Suy ra ∫f(x)dx = (x2-1) ex - ∫2x.ex dx
Suy ra ∫f(x)dx = (x2-1) ex - ∫2x.ex dx = (x2-1) ex-(2x.ex - ∫2.ex dx)
= (x2-1) ex - 2x.ex + 2.ex+C = (x-1)2 ex + C.
Bài 3: Tìm họ nguyên hàm của hàm số
a) ∫2xln(x-1)dx
b)
Lời giải:
a) Xét ∫2xln(x-1)dx
b)
(199k) Xem Khóa học Toán 12 KNTTXem Khóa học Toán 12 CDXem Khóa học Toán 12 CTST
Xem thêm các dạng bài tập Toán lớp 12 ôn thi Tốt nghiệp có lời giải hay khác:
Đã có app VietJack trên điện thoại, giải bài tập SGK, SBT Soạn văn, Văn mẫu, Thi online, Bài giảng....miễn phí. Tải ngay ứng dụng trên Android và iOS.
Theo dõi chúng tôi miễn phí trên mạng xã hội facebook và youtube:Nếu thấy hay, hãy động viên và chia sẻ nhé! Các bình luận không phù hợp với nội quy bình luận trang web sẽ bị cấm bình luận vĩnh viễn.
- Giải Tiếng Anh 12 Global Success
- Giải sgk Tiếng Anh 12 Smart World
- Giải sgk Tiếng Anh 12 Friends Global
- Lớp 12 Kết nối tri thức
- Soạn văn 12 (hay nhất) - KNTT
- Soạn văn 12 (ngắn nhất) - KNTT
- Giải sgk Toán 12 - KNTT
- Giải sgk Vật Lí 12 - KNTT
- Giải sgk Hóa học 12 - KNTT
- Giải sgk Sinh học 12 - KNTT
- Giải sgk Lịch Sử 12 - KNTT
- Giải sgk Địa Lí 12 - KNTT
- Giải sgk Giáo dục KTPL 12 - KNTT
- Giải sgk Tin học 12 - KNTT
- Giải sgk Công nghệ 12 - KNTT
- Giải sgk Hoạt động trải nghiệm 12 - KNTT
- Giải sgk Giáo dục quốc phòng 12 - KNTT
- Giải sgk Âm nhạc 12 - KNTT
- Giải sgk Mĩ thuật 12 - KNTT
- Lớp 12 Chân trời sáng tạo
- Soạn văn 12 (hay nhất) - CTST
- Soạn văn 12 (ngắn nhất) - CTST
- Giải sgk Toán 12 - CTST
- Giải sgk Vật Lí 12 - CTST
- Giải sgk Hóa học 12 - CTST
- Giải sgk Sinh học 12 - CTST
- Giải sgk Lịch Sử 12 - CTST
- Giải sgk Địa Lí 12 - CTST
- Giải sgk Giáo dục KTPL 12 - CTST
- Giải sgk Tin học 12 - CTST
- Giải sgk Hoạt động trải nghiệm 12 - CTST
- Giải sgk Âm nhạc 12 - CTST
- Lớp 12 Cánh diều
- Soạn văn 12 Cánh diều (hay nhất)
- Soạn văn 12 Cánh diều (ngắn nhất)
- Giải sgk Toán 12 Cánh diều
- Giải sgk Vật Lí 12 - Cánh diều
- Giải sgk Hóa học 12 - Cánh diều
- Giải sgk Sinh học 12 - Cánh diều
- Giải sgk Lịch Sử 12 - Cánh diều
- Giải sgk Địa Lí 12 - Cánh diều
- Giải sgk Giáo dục KTPL 12 - Cánh diều
- Giải sgk Tin học 12 - Cánh diều
- Giải sgk Công nghệ 12 - Cánh diều
- Giải sgk Hoạt động trải nghiệm 12 - Cánh diều
- Giải sgk Giáo dục quốc phòng 12 - Cánh diều
- Giải sgk Âm nhạc 12 - Cánh diều


Giải bài tập SGK & SBT
Tài liệu giáo viên
Sách
Khóa học
Thi online
Hỏi đáp

