Các dạng bài tập Tích phân chọn lọc, có đáp án
Phần Tích phân và ứng dụng Toán lớp 12 với các dạng bài tập chọn lọc giúp ôn thi Tốt nghiệp môn Toán và trên 300 bài tập trắc nghiệm chọn lọc, có đáp án. Vào Xem chi tiết để theo dõi các dạng bài Tích phân và ứng dụng hay nhất tương ứng.
Các dạng bài tập Tích phân chọn lọc, có đáp án
(199k) Xem Khóa học Toán 12 KNTTXem Khóa học Toán 12 CDXem Khóa học Toán 12 CTST
Bài giảng: Ứng dụng của tích phân tính diện tích, tính thể tích - Cô Nguyễn Phương Anh (Giáo viên VietJack)
- Công thức tích phân Xem chi tiết
- Phương pháp tính tích phân cơ bản (cực hay) Xem chi tiết
- Cách tính tích phân bằng phương pháp đổi biến số (cực hay) Xem chi tiết
- Phương pháp tính tích phân từng phần (cực hay) Xem chi tiết
- Phương pháp tính tích phân hàm chứa dấu giá trị tuyệt đối (cực hay) Xem chi tiết
- Phương pháp tính tích phân hàm số chẵn, hàm số lẻ (cực hay) Xem chi tiết
- 3 ứng dụng của tích phân: tính diện tích, thể tích, quãng đường, vận tốc (cực hay) Xem chi tiết
- Dạng 6: Tính tích phân bằng định nghĩa và tính chất Xem chi tiết
- Trắc nghiệm tính tích phân bằng định nghĩa và tính chất Xem chi tiết
- Dạng 7: Tính tích phân từng phần Xem chi tiết
- Trắc nghiệm tính tích phân từng phần Xem chi tiết
- Dạng 8: Tính tích phân bằng phương pháp đổi biến số loại 1 Xem chi tiết
- Trắc nghiệm tính tích phân bằng phương pháp đổi biến số loại 1 Xem chi tiết
- Dạng 9: Tính tích phân bằng phương pháp đổi biến số loại 2 Xem chi tiết
- Trắc nghiệm tính tích phân bằng phương pháp đổi biến số loại 2 Xem chi tiết
- Dạng 10: Tính tích phân hàm chứa dấu giá trị tuyệt đối Xem chi tiết
- Trắc nghiệm tính tích phân hàm chứa dấu giá trị tuyệt đối Xem chi tiết
- Dạng 11: Tính tích phân hàm số hữu tỉ Xem chi tiết
- Trắc nghiệm tính tích phân hàm số hữu tỉ Xem chi tiết
- Dạng 12: Ứng dụng của tích phân: Tính diện tích hình phẳng Xem chi tiết
- Trắc nghiệm ứng dụng của tích phân: Tính diện tích hình phẳng Xem chi tiết
- Dạng 13: Ứng dụng của tích phân: Tính thể tích khối tròn xoay Xem chi tiết
- Trắc nghiệm ứng dụng của tích phân: Tính thể tích khối tròn xoay Xem chi tiết
- Bài tập về tính chất của tích phân Xem chi tiết
- Bài tập tính tích phân cơ bản Xem chi tiết
- Tính tích phân hàm đa thức, phân thức bằng phương pháp đổi biến số Xem chi tiết
- Tính tích phân hàm lượng giác bằng phương pháp đổi biến số Xem chi tiết
- Tính tích phân hàm số mũ, logarit bằng phương pháp đổi biến số Xem chi tiết
- Tính tích phân hàm chứa căn thức bằng phương pháp đổi biến số Xem chi tiết
- Cách tính tích phân bằng phương pháp đổi biến số loại 2 Xem chi tiết
- Bài tập tính tích phân nâng cao Xem chi tiết
- Tính tích phân hàm lượng giác bằng phương pháp tích phân từng phần Xem chi tiết
- Tính tích phân hàm số mũ, logarit bằng phương pháp tích phân từng phần Xem chi tiết
- Tính tích phân của hàm số chẵn, hàm số lẻ Xem chi tiết
- Hàm số dưới dấu tích phân là thương của hàm chẵn và hàm mũ Xem chi tiết
- Tích phân của hàm trị tuyệt đối Xem chi tiết
- Bài tập tích phân nâng cao Xem chi tiết
- Ứng dụng tích phân: Tính diện tích hình phẳng Xem chi tiết
- Ứng dụng tích phân: Tính thể tích vật thể và khối tròn xoay Xem chi tiết
Bài tập trắc nghiệm
- 150 bài tập trắc nghiệm Nguyên hàm, Tích phân và ứng dụng có lời giải (cơ bản - phần 1) Xem chi tiết
- 150 bài tập trắc nghiệm Nguyên hàm, Tích phân và ứng dụng có lời giải (cơ bản - phần 2) Xem chi tiết
- 150 bài tập trắc nghiệm Nguyên hàm, Tích phân và ứng dụng có lời giải (cơ bản - phần 3) Xem chi tiết
- 150 bài tập trắc nghiệm Nguyên hàm, Tích phân và ứng dụng có lời giải (cơ bản - phần 4) Xem chi tiết
- 150 bài tập trắc nghiệm Nguyên hàm, Tích phân và ứng dụng có lời giải (nâng cao - phần 1) Xem chi tiết
- 150 bài tập trắc nghiệm Nguyên hàm, Tích phân và ứng dụng có lời giải (nâng cao - phần 2) Xem chi tiết
- 150 bài tập trắc nghiệm Nguyên hàm, Tích phân và ứng dụng có lời giải (nâng cao - phần 3) Xem chi tiết
- 150 bài tập trắc nghiệm Nguyên hàm, Tích phân và ứng dụng có lời giải (nâng cao - phần 4) Xem chi tiết
Phương pháp tính tích phân cơ bản
Dạng 1. Tính chất của tích phân
1. Phương pháp giải
Giả sử cho hai hàm số f(x) và g(x) liên tục trên K và a,b,c là ba số bất kỳ thuộc K. Khi đó ta có
Nếu f(x) ≥ 0, ∀x ∈ [a, b] thì
Nếu ∀x ∈ [a, b]: f(x) ≥ g(x)
Nếu ∀x ∈ [a, b] nếu M ≤ f(x) ≤ N thì
2. Ví dụ minh họa
Ví dụ 1. Cho tích phân . Tính tích phân
A . I= 40 B. I= 10 C. I= 20 D. I= 5
Hướng dẫn:
Đáp án: B
Đặt
Đổi cận: với x = 0 => t = 0
Với x = 6 => t = 3
Ta có:
Suy ra:
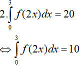
Ví dụ 2. Cho hàm số y= f(x) liên tục trên đoạn [0; 6] thỏa mãn
và
. Tính giá trị của biểu thức
A. P= 4 B. P= 16 C. P= 8 D. P= 10
Hướng dẫn:
Đáp án: A
Ta có:
Dạng 2. Tính trực tiếp
1. Phương pháp giải
Cho hàm số y= f(x) liên tục trên K và a, b là hai số bất kì thuộc K. Nếu F là một nguyên hàm của f trên K thì:
.
Như vậy, để tính tích phân của 1 hàm số ta cần:
• Bước 1: Xác định F(x) là nguyên hàm của hàm số.
• Bước 2. Tính F(b) − F(a).
Dạng 2.1. Hàm đa thức
2. Ví dụ minh họa
Ví dụ 1. Tích phân
bằng
A.I=1 B.I= 2 C.I= 3 D. I= −1
Hướng dẫn:
Đáp án: A
Ví dụ 2. Có bao nhiêu giá trị của m sao cho
:
A.1 B. 2 C. 3 D. 4
Hướng dẫn:
Đáp án: A
Ta có:
Vậy có 3 giá trị của m thỏa mãn.
Dạng 2.2. Hàm phân thức
Ví dụ minh họa
Ví dụ 1. Tích phân
bằng
Hướng dẫn:
Đáp án: D
Ví dụ 2. Tích phân
bằng
Hướng dẫn:
Đáp án: B
Ta có:
Dạng 2.3. Hàm căn thức
Ví dụ minh họa
Ví dụ 1. Tính
Hướng dẫn:
Đáp án: C
Ví dụ 2. Tính
Hướng dẫn:
Đáp án: B
Dạng 2.4. Hàm lượng giác
2. Ví dụ minh họa
Ví dụ 1. Tích phân
có giá trị là
Hướng dẫn:
Đáp án: B
Ví dụ 2. Tích phân
có giá trị là
Hướng dẫn:
Đáp án: A
Ta có
Dạng 2.5. Hàm mũ, logarit
2. Ví dụ minh họa
Ví dụ 1. Tích phân
bằng
Hướng dẫn:
Đáp án: D
Vậy:
Ví dụ 2. Tích phân
có giá trị là:
Hướng dẫn:
Đáp án: D
Ta có:
Cách tính tích phân bằng phương pháp đổi biến số
Phương pháp giải
Trong đó u= u(x) có đạo hàm liên tục trên K, hàm số y= f(u) liên tục và sao cho hàm hợp f[u(x)] xác định trên K; a và b là hai số thuộc K
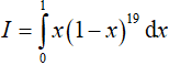
Dạng 3.1. Hàm đa thức
Ví dụ minh họa
Ví dụ 1. Tích phân
Hướng dẫn:
Đáp án: A
Đặt t = 1 − x => −dt = dx. Đổi cận: x = 0 => t = 1; x = 1 => t = 0
Dạng 3.2. Hàm phân thức
Ví dụ minh họa
Ví dụ 1. Tích phân
Hướng dẫn:
Đáp án: A
Đặt t = x+ 1 => dt = dx. Đổi cận: x = 0 => t = 1; x = 1 => t = 2
Ví dụ 2. Tích phân
Hướng dẫn:
Đáp án: D
Đặt
Đổi cận:
Khi đó
Vậy
Dạng 3.3. Hàm căn thức
Ví dụ minh họa
Ví dụ 1. Tích phân
Hướng dẫn:
Đáp án: A
Đặt
Đổi cận x = 0 => t = 1; x = 1 => t = √
Ví dụ 2. Tính
Hướng dẫn:
Đáp án: A
Đặt x = sint
Do đó
Dạng 3.4. Hàm lượng giác
Ví dụ minh họa
Ví dụ 1. Tính
Hướng dẫn:
Đáp án: B
Đặt: t = √(1 + 3 cosx)
Khi đó
Ví dụ 2. Tính
A. 2ln2 − 1 B.ln2 − 1 C. ln2 − 2 D.ln2+ 1
Hướng dẫn:
Đáp án: A
Đặt: t = 1 + cosx
Khi đó
Dạng 3.5. Hàm mũ, logarit
Ví dụ minh họa
Ví dụ 1. Cho
A. I = cos1 B. I = 1 C. I = sin1 D. Đáp án khác
Hướng dẫn:
Đáp án: B
Đặt
Đổi cận:
Khi đó:
Ví dụ 2. Tính
Hướng dẫn:
Đáp án: A
Đặt
Đổi cận:
Khi đó:
Dạng 3.6. Tích phân
1. Phương pháp giải
Chứng minh:
• Đặt: b − x= t, suy ra x = b − t và dx = −dt,
• Do đó:
Vì tích phân không phụ thuộc vào biến số
2. Ví dụ minh họa
Ví dụ 1. Tính
A. 0 B.1 C. 2 D. 3
Hướng dẫn:
Đáp án: C
Đặt:
=> dt = −dx; x = 0
Nhưng tích phân không phụ thuộc và biến số, cho nên:
Lấy (1) + (2) vế với vế ta có:
Ví dụ 2. Tính
Hướng dẫn:
Đáp án: A
Đặt
=> dx = −dt; x = 0
=> f(x)dx = log2(1 + tanx)dx
Hay:
Vậy:
Dạng 3.7. Dạng khác
Ví dụ minh họa
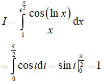
Ví dụ 1. Tính
Hướng dẫn:
Đáp án: A
Đặt lnx = t, ta có .
Đặt : u = ln( 1+ t2) ; dv = dt
Từ đó có:
Tiếp tục đặt t = tanu, ta tính được
Thay vào (*) ta có
Ví dụ 2. Tính
Hướng dẫn:
Đáp án: D
+ Tính
Đặt t = √(1 + lnx) => t2 = 1 + lnx;
Khi x = 1 => t = 1; x = e => x = √2
+ Tính .
Đặt
Phương pháp tính tích phân từng phần
Dạng 4.1. Tích phân có dạng:
trong đó P(x) là đa thức
1. Phương pháp giải
Đặt
Vậy
2. Ví dụ minh họa
Ví dụ 1. Tính
A. π2 − 4 B. π2 + 4 C. 2π2 − 3 D. 2π2 + 3
Hướng dẫn:
Đáp án: A
*Đặt
Khi đó:
Đặt
Khi đó:
Vậy: I = π2 + 2(−2) = π2 − 4
Ví dụ 2. Tính
Đáp án: B
Ta có
Đặt
Dạng 4.2. Tích phân có dạng
trong đó P(x) là đa thức
1. Phương pháp giải
Đặt
Vậy
2. Ví dụ minh họa
Ví dụ 1. Tích phân
Hướng dẫn:
Đáp án: A
Đặt u = x; dv = e−x.dx, suy ra du = dx; v = −e−x
Ví dụ 2. Tìm a > 0 sao cho
Hướng dẫn:
Đáp án: D
Đặt u = x,
, suy ra du = dx,
Theo giả thiết ta có:
Dạng 4.3. Tích phân có dạng:
1. Phương pháp giải
Đặt
Vậy
2. Ví dụ minh họa
Ví dụ 1. Tích phân
bằng:
Hướng dẫn:
Đáp án: D
Đặt u = lnx, dv = (2x − 1)dx suy ra
, v = x2 − x
Ví dụ 2. Tính
Hướng dẫn:
Đáp án: A
Đặt
Do đó
Dạng 4.4. Tích phân có dạng:
.
1. Phương pháp giải
Đặt
Vậy
Bằng phương pháp tương tự ta tính được
sau đó thay vào I.
2. Ví dụ minh họa
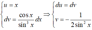
Ví dụ 1. Tính
Hướng dẫn:
Đáp án: A
Ta có:
Trong đó
* Ta tính H
Đặt:
Từ (1) và (2) suy ra,
Ví dụ 2. Tính
Hướng dẫn:
Đáp án: D
Đặt
(199k) Xem Khóa học Toán 12 KNTTXem Khóa học Toán 12 CDXem Khóa học Toán 12 CTST
Xem thêm các dạng bài tập Toán lớp 12 ôn thi Tốt nghiệp có lời giải hay khác:
Đã có app VietJack trên điện thoại, giải bài tập SGK, SBT Soạn văn, Văn mẫu, Thi online, Bài giảng....miễn phí. Tải ngay ứng dụng trên Android và iOS.
Theo dõi chúng tôi miễn phí trên mạng xã hội facebook và youtube:Nếu thấy hay, hãy động viên và chia sẻ nhé! Các bình luận không phù hợp với nội quy bình luận trang web sẽ bị cấm bình luận vĩnh viễn.
- Giải Tiếng Anh 12 Global Success
- Giải sgk Tiếng Anh 12 Smart World
- Giải sgk Tiếng Anh 12 Friends Global
- Lớp 12 Kết nối tri thức
- Soạn văn 12 (hay nhất) - KNTT
- Soạn văn 12 (ngắn nhất) - KNTT
- Giải sgk Toán 12 - KNTT
- Giải sgk Vật Lí 12 - KNTT
- Giải sgk Hóa học 12 - KNTT
- Giải sgk Sinh học 12 - KNTT
- Giải sgk Lịch Sử 12 - KNTT
- Giải sgk Địa Lí 12 - KNTT
- Giải sgk Giáo dục KTPL 12 - KNTT
- Giải sgk Tin học 12 - KNTT
- Giải sgk Công nghệ 12 - KNTT
- Giải sgk Hoạt động trải nghiệm 12 - KNTT
- Giải sgk Giáo dục quốc phòng 12 - KNTT
- Giải sgk Âm nhạc 12 - KNTT
- Giải sgk Mĩ thuật 12 - KNTT
- Lớp 12 Chân trời sáng tạo
- Soạn văn 12 (hay nhất) - CTST
- Soạn văn 12 (ngắn nhất) - CTST
- Giải sgk Toán 12 - CTST
- Giải sgk Vật Lí 12 - CTST
- Giải sgk Hóa học 12 - CTST
- Giải sgk Sinh học 12 - CTST
- Giải sgk Lịch Sử 12 - CTST
- Giải sgk Địa Lí 12 - CTST
- Giải sgk Giáo dục KTPL 12 - CTST
- Giải sgk Tin học 12 - CTST
- Giải sgk Hoạt động trải nghiệm 12 - CTST
- Giải sgk Âm nhạc 12 - CTST
- Lớp 12 Cánh diều
- Soạn văn 12 Cánh diều (hay nhất)
- Soạn văn 12 Cánh diều (ngắn nhất)
- Giải sgk Toán 12 Cánh diều
- Giải sgk Vật Lí 12 - Cánh diều
- Giải sgk Hóa học 12 - Cánh diều
- Giải sgk Sinh học 12 - Cánh diều
- Giải sgk Lịch Sử 12 - Cánh diều
- Giải sgk Địa Lí 12 - Cánh diều
- Giải sgk Giáo dục KTPL 12 - Cánh diều
- Giải sgk Tin học 12 - Cánh diều
- Giải sgk Công nghệ 12 - Cánh diều
- Giải sgk Hoạt động trải nghiệm 12 - Cánh diều
- Giải sgk Giáo dục quốc phòng 12 - Cánh diều
- Giải sgk Âm nhạc 12 - Cánh diều


Giải bài tập SGK & SBT
Tài liệu giáo viên
Sách
Khóa học
Thi online
Hỏi đáp

